各团支部:
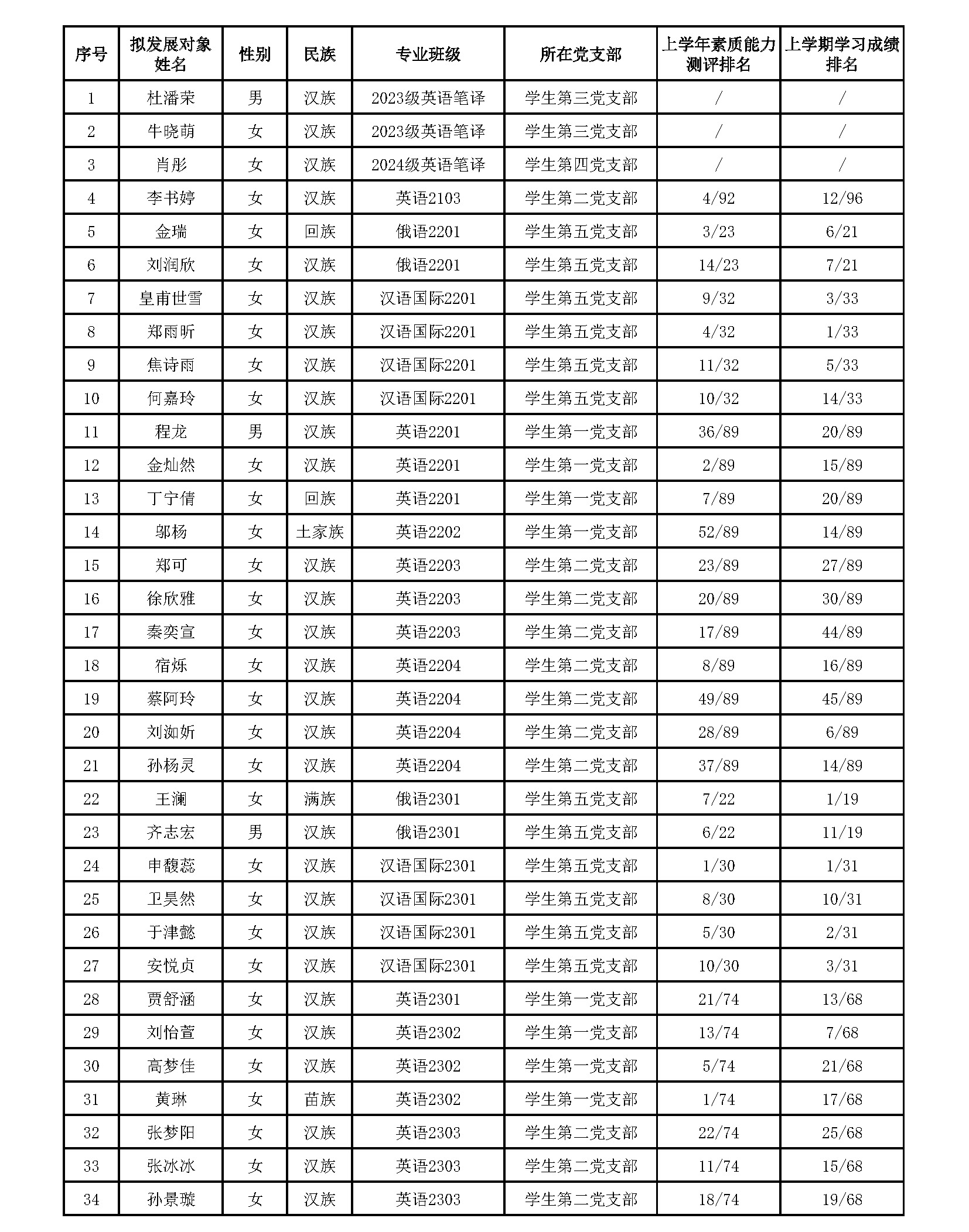
根据《中国共产党章程》《中国共产主义青年团章程》《中国共产党发展党员工作细则》《365英国上市公司集团共青团推优入党工作实施办法(试行)》等文件精神,经过个人申请、资格审查、团支部推荐、公司团委审核等程序,现将公司2025年上半年共青团推优入党名单(发展对象)予以公示。

公示时间为2025年4月8日-4月14日。公示期内任何个人或单位有异议,请以书面形式向公司团委反映。反映问题应本着实事求是和负责的态度,要求客观准确。
联系电话:029-87091974
Email: yyxy1974@nwafu.edu.cn
共青团365英国上市公司委员会
2025年4月8日